Notes: Integers | Mathematics & Pedagogy Paper 2 for CTET & TET Exams - CTET & State TET PDF Download

Integers are a fundamental concept in mathematics, encompassing whole numbers and their opposites. They are essential for understanding various mathematical operations and are a significant topic for the TET (Teacher Eligibility Test) and other educational exams. Here’s a detailed overview:

Notes: Integers | Mathematics & Pedagogy Paper 2 for CTET & TET Exams - CTET & State TET

What are Negative Numbers?

Ethan is going for a picnic with his friends. He wants to carry cupcakes with him, but he has got only 3 cupcakes and there are 4 friends. What is he going to do now?

Notes: Integers | Mathematics & Pedagogy Paper 2 for CTET & TET Exams - CTET & State TET

So, Ethan decided to borrow one cupcake from his sister, which he would return later.

How many cupcakes does he have now?

Notes: Integers | Mathematics & Pedagogy Paper 2 for CTET & TET Exams - CTET & State TET

After borrowing one cupcake from his sister, he has got 4 cupcakes, which he would give to his four friends.
He goes for the picnic, where he gave away the 4 cupcakes to his friends.

Question for Notes: Integers
Try yourself:
Ethan has 8 pens and he gives away 3 pens to his friends. How many pens does Ethan have left?
View Solution

Now, how many cupcakes are left with him?

Is your answer zero (0)?
We can say that there are no or 0 cupcakes left with him, but we also have to keep in mind that he has borrowed one cupcake from his sister.
So, in actual Ethan has (-1) cupcake, which means that 1 cupcake is borrowed and did not belong to him.
If he buys 3 more cupcakes the next day, he will have to return 1 cupcake to his sister and will be left with 2 cupcakes only.

Numbers with a negative sign are less than zero, and they are called negative numbers.

Notes: Integers | Mathematics & Pedagogy Paper 2 for CTET & TET Exams - CTET & State TET

Notes: Integers | Mathematics & Pedagogy Paper 2 for CTET & TET Exams - CTET & State TET

Natural Numbers: Natural Numbers is a set of counting numbers. They are denoted by N.

Notes: Integers | Mathematics & Pedagogy Paper 2 for CTET & TET Exams - CTET & State TET

Whole Numbers: If zero is included in the collection of natural numbers, we get a new collection of numbers known as whole numbers.

Notes: Integers | Mathematics & Pedagogy Paper 2 for CTET & TET Exams - CTET & State TET

Integers: Integers are a set of whole numbers and negative of all natural numbers.

Notes: Integers | Mathematics & Pedagogy Paper 2 for CTET & TET Exams - CTET & State TET

Integers on a Number Line

Notes: Integers | Mathematics & Pedagogy Paper 2 for CTET & TET Exams - CTET & State TET

Addition of Integers

Notes: Integers | Mathematics & Pedagogy Paper 2 for CTET & TET Exams - CTET & State TET

If we add 6 and 4 (both are positive integers), we add their values and the result will also be a positive integer.
So, 6 + 4 = 10

Example 1: Add 25 and 46

25 and 46 are positive integers. So, we add their values.
25 + 46 = 71

The result will be a positive integer. (a common sign of both the integers)

Notes: Integers | Mathematics & Pedagogy Paper 2 for CTET & TET Exams - CTET & State TET

Add: 6 + (-9)
Here, one integer is positive and the other integer is negative.
So, we find the difference of the integers, (9 – 6 = 3)
Out of the two integers, which one is greater (do not consider the sign of the integers here)?
9 is the greater integer, but it is a negative integer.
Therefore, result 3 will have a negative sign.
So, -9 + 6 = -3

Example 2: Add -67 and 32

-67 + 32
Here, one integer is positive and the other is negative so we find the difference of their numerical values.
67 – 32 = 35
Now, 67 is the greater integer (signs of the integers are not considered).
As 67 is a negative integer, the result will take the negative sign.
-67 + 32 = -35

Notes: Integers | Mathematics & Pedagogy Paper 2 for CTET & TET Exams - CTET & State TET

Add: -5 and -3
-5 + (-3) = -5 – 3 = -8
If we do the addition of -5 and -3 on the number line, then we start from 0 and jump 5 places to the left of 0.

Example 3: Add -78 and -36

Both the integers are negative, so we add their values and the result will take the negative sign.
-78 + (-36) = -78 – 36 = -114

Question for Notes: Integers
Try yourself:
What is the sum of -9 and 6?
View Solution

Subtraction of Integers

When we subtract one integer from the other, we convert the integer to be subtracted to its negative and then add the two integers.Notes: Integers | Mathematics & Pedagogy Paper 2 for CTET & TET Exams - CTET & State TETExample 1: Subtract 3 from 7.

7 – 3
Additive inverse of 3 is -3
So we add 7 to the additive inverse of 3 that is -3.
7 -3 = 7 + (-3) = 4

Notes: Integers | Mathematics & Pedagogy Paper 2 for CTET & TET Exams - CTET & State TET

Example 5: Subtract -26 from 48

Here, we are subtracting the negative integer, -26 from 48. So we simply add the two integers.
48 – (-26)
48 – (-26) = 48 + 26 = 74

Example 6: -89 from -67

Now, we have to subtract a negative integer, -89 from another negative integer, -67.
-67 – (-89) = -67 + 89
We know that when we add a positive and a negative integer, then we find their difference and put the sign of the greater integer.
-67 + 89 = 22 (sign will be positive as the greater integer, 89 has a positive sign)

Properties of Addition and Subtraction of Integers

1. Closure under Addition

If a and b are two integers, then a + b is also an integer.
When we add any two integers, the result will always be an integer.
This is true for all integers.

2. Closure under Subtraction

If a and b are two integers, then a − b is also an integer.
When we subtract an integer from another, the result will always be an integer. This is true for all integers.

Notes: Integers | Mathematics & Pedagogy Paper 2 for CTET & TET Exams - CTET & State TET

3. Commutative Property

Commutative property of addition of integers
If a and b are two integers, then a + b = b + a
Notes: Integers | Mathematics & Pedagogy Paper 2 for CTET & TET Exams - CTET & State TET

Hence, we can add two integers in any order.

Notes: Integers | Mathematics & Pedagogy Paper 2 for CTET & TET Exams - CTET & State TET

Commutative property of subtraction of integers
If a and b are two integers, then a − b ≠ b − a

Notes: Integers | Mathematics & Pedagogy Paper 2 for CTET & TET Exams - CTET & State TET

Notes: Integers | Mathematics & Pedagogy Paper 2 for CTET & TET Exams - CTET & State TET

Example: Verify the following and state the property used.

(-5) + (-8) = (-8) + (-5)
LHS
-5 + (-8) = -5 – 8 = -13
RHS
-8 + (-5) = -8 – 5 = -13
LHS = RHS
Here, we have used the commutative property of addition of integers which states that, if a and b are two integers, then a + b = b + a

Question for Notes: Integers
Try yourself:
What is the result of subtracting 12 from -5?
View Solution

4. Associative Property

Associative property of Addition of Integers
If a, b & c are any three integers, then
(a + b) + c = a + (b + c)

Notes: Integers | Mathematics & Pedagogy Paper 2 for CTET & TET Exams - CTET & State TET

When we are adding integers, they can be grouped in any order and the result remains the same.
Consider the three integers, -2, -4 and -6

Case 1: [-2 + (-4)] + (-6)
In the first case, we group -2 and -4.
[-2 + (-4)] + (-6) = -6 + (-6)
On a number line, we start from -6 and jump 6 places to the left of -6.

Notes: Integers | Mathematics & Pedagogy Paper 2 for CTET & TET Exams - CTET & State TET

We reach -12 on the number line.

Case 2: (-2) + [-4 + (-6)]
In the second case we group together -4 and -6.
(-2) + [-4 + (-6)] = -2 + (-10)

On a number line, we start from -2 and jump 10 places to the left of -2.

Notes: Integers | Mathematics & Pedagogy Paper 2 for CTET & TET Exams - CTET & State TET

We reach -12 on the number line.
We see that the result is the same in both cases.

Notes: Integers | Mathematics & Pedagogy Paper 2 for CTET & TET Exams - CTET & State TET

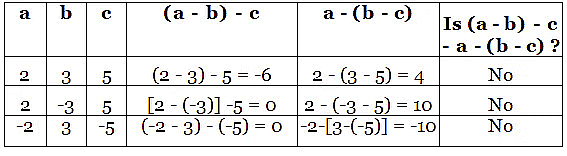
Associative property of Subtraction of Integers
For any three integers a, b and c,
(a – b) – c ≠ a – (b – c)

Notes: Integers | Mathematics & Pedagogy Paper 2 for CTET & TET Exams - CTET & State TET

Consider the integers, -3, -5 and -6

Case 1: [-3 - (-5)] - (-6)
In the first case, we group together -3 and -5.
[-3 - (-5)] - (-6) = 2 + 6 = 8

Case 2: (-3) – [-5 – (-6)]
In the second case, we group together -5 and -6.
(-3) – [-5 – (-6)] = -3 – 1 = -4
[-3 - (-5)] - (-6) ≠ (-3) – [-5 – (-6)]

Notes: Integers | Mathematics & Pedagogy Paper 2 for CTET & TET Exams - CTET & State TET

Example: Fill in the blanks to make the following statements true.

(i) [13 + (-12)] + (___) = 13 + [(-12) + (-7)]

We have used the associative property of addition of integers which states that, if a, b & c are any three integers, then
(a + b) + c = a + (b + c)
If a = 13, b = -12 and c = -7 then,
[13 + (-12)] + (-7) = 13 + [(-12) + (-7)]

(ii) (-4) + [15 + (-3)] = [-4 + 15] + (__)

We use the associative property of addition of integers which states that, if a, b & c are any three integers, then
(a + b) + c = a + (b + c)
If a = -4, b = 15 and c = -3 then,
(-4) + [15 + (-3)] = [-4 + 15] + (-3)

5. Additive Identity

If a is any integer, then a + 0 = a = 0 + a

Notes: Integers | Mathematics & Pedagogy Paper 2 for CTET & TET Exams - CTET & State TET

The number 'zero' has a special role in addition. When we add zero to any integer the result is the same integer again. Zero is the additive identity for integers.

Example 1: Fill in the blanks

(i) (-23) + 0 = ____

If we add zero to any integer the result is the same integer again. This property is known as additive identity property.
So, (-23) + 0 = -23

(ii) 0 + ___ = -43

We again use the additive identity property.
So, 0 + (-43) = -43

(iii) 8 + ___ = 8

Using the additive identity property, we get, 8 + 0 = 8

Question for Notes: Integers
Try yourself:
Which property of addition is demonstrated in the given examples?
View Solution

Multiplication of Integers

Multiplication of a Positive and a Negative Integer

To find the product of two integers with unlike signs, we find the product of their values and put the negative sign before the product.

For any two integers a and b,
a × (−b) = (−a) × b = −(a × b)

Example 1: Find

(i) (-31) × 30

The two integers have different signs, one is positive and the other is negative. So we find the product of their values and give the product a negative sign.
(-31) × 30 = -930

(ii) 26 × (-13)

Here, one integer is positive and the other integer is negative. So, we find the product of their values and put a negative sign before the product.
26 × (-13) = -338

Multiplication of Two Negative Integers

To find the product of two integers with the same sign, we find the product of their values and put the positive sign before the product.

Notes: Integers | Mathematics & Pedagogy Paper 2 for CTET & TET Exams - CTET & State TET

For any two positive integers a and b,
a × b = ab
For any two negative integers (−a) and (−b)
(−a) × (−b) = ab
Consider two positive integers 6 and 8
6 × 8 = +48
Now, consider the two negative integers -6 and -8
(-6) × (-8) = +48
We see that the product is positive in both cases.

Example 1: Find
(i) (-11) × (-100)

The two integers have the same sign (negative), so we find the product of their values and put the positive sign before the product.
(-11) × (-100) = +1100

(ii) 25 × 250

As the two integers are positive (same sign) we find the product of their values and give a positive sign to the product.
25 × 250 = 6250

Product of three or more Negative Integers

We know that the product of two negative integers is a positive integer. What happens if we have to find the product of more than two negative integers?

Notes: Integers | Mathematics & Pedagogy Paper 2 for CTET & TET Exams - CTET & State TET

We see that when the number of negative integers in a product is even, then the product is an even integer and if the number of negative integers in the product is odd, then the product is a negative integer.

Notes: Integers | Mathematics & Pedagogy Paper 2 for CTET & TET Exams - CTET & State TET

Properties of Multiplication of Integers

1. Closure under Multiplication

If a and b are two integers, then a × b is an integer.

Notes: Integers | Mathematics & Pedagogy Paper 2 for CTET & TET Exams - CTET & State TET

(-2)× 3 = (- 6)

2. Commutativity of Multiplication

If a and b are two integers, then a × b = b × a

Notes: Integers | Mathematics & Pedagogy Paper 2 for CTET & TET Exams - CTET & State TET

The value of the product does not change even when the order of multiplication is changed.

3. Multiplication by Zero (0)

If a is any integer, then a × 0 = 0 × a = 0
15 × 0 = 0
(-100)× 0 = 0
0 ×(-25) = -25
The product of a negative integer and zero is always zero.

4. Multiplicative Identity

If a is any integer, then a × 1 = a = 1 × a

Notes: Integers | Mathematics & Pedagogy Paper 2 for CTET & TET Exams - CTET & State TET

If we multiply any integer by 1, the product is the integer itself.
So, 1 is the multiplicative identity of integers.
Distributive Property of Multiplication over Addition:
If a, b & c are any three integers, then
a × (b + c) = a × b + a × c
Notes: Integers | Mathematics & Pedagogy Paper 2 for CTET & TET Exams - CTET & State TET

5. Associativity for Multiplication

If a, b & c are any three integers, then
(a × b) × c = a × (b × c)

Notes: Integers | Mathematics & Pedagogy Paper 2 for CTET & TET Exams - CTET & State TET

When we multiply three or more integers, the value of the product remains the same even if they are grouped in any manner and this is called the associative property for multiplication of integers.

Question for Notes: Integers
Try yourself:
What is the result of (-8) ? (-4)?
View Solution

6. Distributive Property

Over addition: For any integers a, b and c,

a x (b+c) = a x b + a x c

Over Subtraction: For any integers a, b and c,

a x (b-c) = a x b - a x c 

Example 1: Find the product using suitable property.

(i) 26× (-48) + (-48)× (-36)

= (-48)×26 + (-48)×(-36)
(by commutative property,a × b = b × a)
= (-48)×[26 + (-36)]
= (-48)×[26 – 36]
= (-48)×(-10) = 480

(ii) 8×53×(-125)

= 53×[8×(-125)]
(by associative property of multiplication (a × b) × c = a × (b × c))
= 53×(-1000) = -53000

(iii) (-41)×101

= (-41)×(100 + 1)
= (-41)×100 + (-41)× 1
(By the Distributive Property of Multiplication over Addition,a × (b + c) = a × b + a × c)
= -4100 + (-41)
= -4100 – 41 = -4141

Example 2: A certain freezing process requires that room temperature be lowered from 50°C at the rate of 6°C every hour. What will be the room temperature 12 hours after the process begins?

Initial room temperature = 50°C
Decrease in temperature in 1 hour = -6°C
Decrease in temperature in 12 hours = 12 × (-6) = - 72°C
Final temperature = 50°C + (- 72°C) = -22°C

Division of Integers

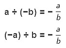
Rule 1: If two integers of different signs are divided, then we divide them as whole numbers and give a negative sign to the quotient.

Notes: Integers | Mathematics & Pedagogy Paper 2 for CTET & TET Exams - CTET & State TET

Notes: Integers | Mathematics & Pedagogy Paper 2 for CTET & TET Exams - CTET & State TET

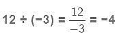
Consider the two integers, 12 and -3.
If we divide 12 by -3, we get,
Notes: Integers | Mathematics & Pedagogy Paper 2 for CTET & TET Exams - CTET & State TET

Notes: Integers | Mathematics & Pedagogy Paper 2 for CTET & TET Exams - CTET & State TET

Example: Evaluate each of the following:

(i) (−30) ÷ 10

(−a) ÷ b = − (a/b)
(−30) ÷ (10) = − (30/10) = -3

(ii) 49 ÷ (−49)

a÷ (-b) = − (a/b)
49 ÷ (−49) = − (49/49) = -1

(iii) 13 ÷ [(−2) + 1]

= 13 ÷ (−1)
a ÷ (−b) = − (a/b)
= 13 ÷ (−1) = − (13/1)= - 13

Rule 2: If two integers of the same signs are divided, then we divide them as whole numbers and give a positive sign to the quotient.

(−a) ÷ (−b) = a/b
a ÷ b = a/b
On dividing 25 by 5 we get,
25 ÷ 5 = 25/5 = 5
If we divide (-25) by (-5) we get,
(−25) ÷ (−5) = (-25/-5) = 5
We see that the result is the same in both cases.

Example 1: Evaluate each of the following:

(i) (−36) ÷ (−4)

(−a) ÷ (−b) = a/b
= (−36) ÷ (−4) = 36/4 = 9

(ii) (−31) ÷ [(−30) + (−1)]

= (−31) ÷ [(−30) + (−1)]
= (−31) ÷ (−31)
(−a) ÷ (−b) = a/b
(−31) ÷ (−31) = 31/31 = 1

(iii) [(−6) + 5] ÷ [(−3) + 2]

= (−1) ÷ (−1)
(−a) ÷ (−b) = a/b
(−1) ÷ (−1) = 1/1 = 1

Example 2: Write five pairs of integers (a, b) such that a ÷ b = – 4.

Five pairs of integers are,
(i) (8, −2)

a ÷ (−b) = − (a/b)
8 ÷ (−2) = − (8/2) = -4

(ii) (−4 , 1)

(−a) ÷ b = - (a/b)
= (−4 ) ÷ 1 = − 4/1 = -4

(iii) (−16, 4)

(−a) ÷ b = − (a/b)
(−16) ÷ 4 = - 16/4) = -4

(iv) (−24, 6)

(−a) ÷ b = − (a/b)
(−24) ÷ 6 = − (24/6) = -4

(v) (36, −9)

a ÷ (−b) = - (a/b)
36 ÷ (−9) = − (36/9) = -4

Question for Notes: Integers
Try yourself:
Which property is used in the following equation?

(i) 26 ? (-48) + (-48) ? (-36) = (-48) ? 26 + (-48) ? (-36)
View Solution

Properties of Division of Integers

1. Closure Property

If a and b are two integers, then a ÷ b is not always an integer.

Notes: Integers | Mathematics & Pedagogy Paper 2 for CTET & TET Exams - CTET & State TET

Notes: Integers | Mathematics & Pedagogy Paper 2 for CTET & TET Exams - CTET & State TET

Notes: Integers | Mathematics & Pedagogy Paper 2 for CTET & TET Exams - CTET & State TET

2. Commutative Property

If a and b are two integers, a ÷ b ≠ b ÷ a
Notes: Integers | Mathematics & Pedagogy Paper 2 for CTET & TET Exams - CTET & State TET3. Associative Property

For any 3 integers a, b and c, (a ÷ b) ÷ c ≠ a ÷ (b ÷ c)

Notes: Integers | Mathematics & Pedagogy Paper 2 for CTET & TET Exams - CTET & State TET

Notes: Integers | Mathematics & Pedagogy Paper 2 for CTET & TET Exams - CTET & State TET

4. Division of 0 by any integer

If a is any integer other than zero, then a ÷ 0 is not defined but 0 ÷ a = 0,
Notes: Integers | Mathematics & Pedagogy Paper 2 for CTET & TET Exams - CTET & State TET

5. Division by 1

If a is an integer, then a ÷ 1 = a

Notes: Integers | Mathematics & Pedagogy Paper 2 for CTET & TET Exams - CTET & State TET

Example 1: Fill in the blanks

(i) ____ ÷ 25 = 0

If we divide 0 by any integer, the result is always zero.
So, 0 ÷25 = 0

(ii) (-206) ÷ _____ = 1

If we divide any -206 by -206, the result is one.
(-206) ÷ (-206) = 1

(iii) _____ ÷ 1 = -87

If any integer is divided by 1 the result is the same integer.
(-87) ÷ 1 = -87

The document Notes: Integers | Mathematics & Pedagogy Paper 2 for CTET & TET Exams - CTET & State TET is a part of the CTET & State TET Course Mathematics & Pedagogy Paper 2 for CTET & TET Exams.
All you need of CTET & State TET at this link: CTET & State TET
82 videos|273 docs|69 tests

FAQs on Notes: Integers - Mathematics & Pedagogy Paper 2 for CTET & TET Exams - CTET & State TET

1. What are negative numbers?
Ans. Negative numbers are real numbers that are less than zero. They are represented on the number line to the left of zero.
2. How are integers represented on a number line?
Ans. Integers are represented on a number line by points that are equally spaced apart. Positive integers are to the right of zero, while negative integers are to the left of zero.
3. What are the properties of addition and subtraction of integers?
Ans. The properties of addition and subtraction of integers include the commutative property, associative property, and additive inverse property, among others.
4. How are integers multiplied and what are the properties of multiplication of integers?
Ans. Integers are multiplied by following the rules of positive and negative numbers. The properties of multiplication of integers include the commutative property, associative property, and distributive property.
5. How are integers divided and what are the properties of division of integers?
Ans. Integers are divided by applying the rules of positive and negative numbers. The properties of division of integers include the division by zero is undefined, and the quotient of two integers with the same sign is positive.
Related Searches

MCQs

,

Notes: Integers | Mathematics & Pedagogy Paper 2 for CTET & TET Exams - CTET & State TET

,

pdf

,

Free

,

Exam

,

Notes: Integers | Mathematics & Pedagogy Paper 2 for CTET & TET Exams - CTET & State TET

,

Sample Paper

,

past year papers

,

ppt

,

Extra Questions

,

shortcuts and tricks

,

Viva Questions

,

Objective type Questions

,

Notes: Integers | Mathematics & Pedagogy Paper 2 for CTET & TET Exams - CTET & State TET

,

practice quizzes

,

study material

,

video lectures

,

Semester Notes

,

mock tests for examination

,

Previous Year Questions with Solutions

,

Important questions

,

Summary

;