Notes: Data Handling | Mathematics & Pedagogy Paper 2 for CTET & TET Exams - CTET & State TET PDF Download

This chapter holds significant importance in CTET and State TETs exams. It covers various methods of data presentation and measures of central tendency. Analyzing past CTET and State TETs exams reveals that typically 1 to 2 questions are asked from this chapter each year.

Notes: Data Handling | Mathematics & Pedagogy Paper 2 for CTET & TET Exams - CTET & State TET

Data and its Presentation

In our day-to-day life, we often encounter various types of information, such as:

  • Runs made by a batsman in the last 10 test matches.
  • Number of wickets taken by a bowler in the last 10 ODIs.
  • Marks scored by students in a Mathematics unit test.
  • Number of story books read by each of your friends.

This information, collected for study purposes, is known as data. Data is typically collected in two types based on their sources:

  • Primary data: Data collected directly by the investigator for a specific purpose.
  • Secondary data: Data obtained from other sources, whether published or unpublished.

Presentation of Data

Presentation of data involves organizing collected data in a simple form that is easily analyzed and interpreted. There are various methods to represent collected data:

Presentation of Data in Ascending or Descending Order

Consider the marks obtained by 10 students in a Mathematics test as given below:

Raw data: 55, 36, 95, 73, 60, 42, 25, 78, 75, 62

Now, arrange this raw data in ascending order:

Ascending order: 25, 36, 42, 55, 60, 62, 73, 75, 78, 95

By organizing data in this manner, we can easily identify the lowest and highest marks. The difference between the highest and lowest values in the data set is known as the range:

Range: 95 - 25 = 70

Presentation of Data in the Form of Ungrouped Frequency Distribution

If the number of observations in a dataset is large, arranging them in ascending or descending order can be time-consuming. In such cases, data can be presented using a frequency distribution method:

Example: Consider the marks obtained (out of 100 marks) by 25 students of Class IX:

Frequency Distribution Table (Ungrouped)
MarksTally MarksNumber of Students (Frequency)
36III3
40IIII4
50III3
56II2
60IIII4
70IIII4
88II2
92III3
Total25

Presentation of Data in the form of Grouped Frequency Distribution

When there are a large number of distinct values in a dataset, it's convenient to present the data in grouped frequency distribution:

(i) In Exclusive Form

Frequency Distribution Table (Grouped - Exclusive Form)
Class IntervalTally MarksNumber of Students (Frequency)
0-10|||3
10-20||||4
20-30||2
30-40|||||5
40-50||||||6
Total20

(ii) In Inclusive Form

Frequency Distribution Table (Grouped - Inclusive Form)
Class IntervalNumber of Students (Frequency)
0-104
10-203
20-303
31-405
41-505
Total20

Graphical Representation of Data

Raw data can be represented in various pictorial forms to draw inferences. This process is called graphical representation of data. Some of the common types are:

  1. Bar graphs
  2. Histograms
  3. Frequency polygon
  4. Pie charts

Bar Graph

A bar graph is a pictorial representation of data where bars of uniform width are drawn with equal spacing between them. One axis (X-axis) represents the categories or variables, while the height of the bars on the other axis (Y-axis) depends on the values or frequencies of the corresponding observations.

Graphical Representation of Data - Histogram and Frequency Polygon

Histogram

A histogram is a graphical representation of a frequency distribution in exclusive form. It consists of rectangles with continuous class intervals as bases and corresponding frequencies as heights. There are no gaps between consecutive rectangles.

Example: Price Growth Percentage

Determine in which year India had the maximum growth in price:

Notes: Data Handling | Mathematics & Pedagogy Paper 2 for CTET & TET Exams - CTET & State TET

From the histogram, it's clear:

  • Percentage growth in year 2008 = 20%
  • Percentage growth in year 2009 = 38%
  • Percentage growth in year 2010 = 58%
  • Percentage growth in year 2011 = 80%

Therefore, in year 2011, the percentage growth in price was higher than in previous years.

Frequency Polygon

A frequency polygon is obtained by joining the mid-points of the upper horizontal sides of all the rectangles in a histogram. It can also be drawn independently without the histogram.
Notes: Data Handling | Mathematics & Pedagogy Paper 2 for CTET & TET Exams - CTET & State TET


Circle Graph or Pie Chart

What is Circle Graph or Pie Chart?

A circle graph or pie chart shows the relationship between a whole and its parts. The whole circle divided into sectors. The size of each sector is proportional to the activity or information it represents.

The pie chart below shows the time spent by a child in a day.
Notes: Data Handling | Mathematics & Pedagogy Paper 2 for CTET & TET Exams - CTET & State TET

Notes: Data Handling | Mathematics & Pedagogy Paper 2 for CTET & TET Exams - CTET & State TET

In the above graph, the proportion of the sector for hours spent in sleeping.

Number of sleeping hours Whole Day = 824  = 13 

So, this sector is drawn as 1/3rd part of the circle. Similarly, the proportion of the sector for hours spent in School
Number of School hours Whole Day = 624  =  14 

So, this sector is drawn as 1/4th part of the circle. Similarly, the size of other sectors can be found.

Drawing Pie Chart

Notes: Data Handling | Mathematics & Pedagogy Paper 2 for CTET & TET Exams - CTET & State TET

For example,
The number of students in a hostel speaking different languages is given below. Present the data in a pie chart.

Notes: Data Handling | Mathematics & Pedagogy Paper 2 for CTET & TET Exams - CTET & State TET

The central angle of the component =  Value of the components Sum of all the components x  360°

Notes: Data Handling | Mathematics & Pedagogy Paper 2 for CTET & TET Exams - CTET & State TET

Notes: Data Handling | Mathematics & Pedagogy Paper 2 for CTET & TET Exams - CTET & State TET

Arithmetic Mean [AM]

The arithmetic mean is the average of a given set of numbers. It is calculated by dividing the sum of all observations by the total number of observations.

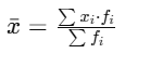
1. Mean for Frequency Distribution:

If x1, x2,.....,x are the values and f1, f2, ....,f are their corresponding frequencies, then the arithmetic mean is given by:
Notes: Data Handling | Mathematics & Pedagogy Paper 2 for CTET & TET Exams - CTET & State TET

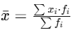
2. Mean for Classified Data:
If x1, x2,.....,x are the class marks and f1, f2, ....,f are their frequencies, then the arithmetic mean remains the same :
Notes: Data Handling | Mathematics & Pedagogy Paper 2 for CTET & TET Exams - CTET & State TET

Median

The median of a distribution is the middle value when the data are arranged in ascending or descending order.

1. Median for Ungrouped Data:

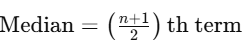
  • If the number of observations  is odd
    Notes: Data Handling | Mathematics & Pedagogy Paper 2 for CTET & TET Exams - CTET & State TET
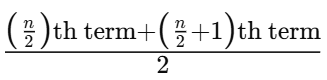
  • If the number of observations  is even
    Notes: Data Handling | Mathematics & Pedagogy Paper 2 for CTET & TET Exams - CTET & State TET

2. Median for Classified or Grouped Data:

To determine the median class:

  1. Compute the cumulative frequencies of all classes.

  2. Find N/2, where N is the total frequency.

  3. The median class is the class whose cumulative frequency is either equal to N/2 or just greater

Median Formula:
Notes: Data Handling | Mathematics & Pedagogy Paper 2 for CTET & TET Exams - CTET & State TET

Where 

  • L = Lower limit of the median class,
  • N = Sum of frequencies,
  •  f = Frequency of the median class,
  • C = Cumulative frequency of the preceding class of the median class,
  • i  = Class interval.

Mode

The mode of a set of observations is the value that occurs most frequently among the given observations.

Example:

Find the mode of the given data: 29, 25, 38, 22, 38, 25, 38, 29.

Solution: Here, 38 is the observation with the maximum frequency. Therefore, the mode is 38.

Relation Between Mean, Median, and Mode

There is a mathematical relationship between the mean, median, and mode:

Mode = 3 Median - 2 Mean

Example:

If the mode of a grouped data is 12 and the mean is 5, then the median will be:

Solution: Given Mode = 12, Mean = 5

Using the relationship: Mode = (3 * Median) - (2 * Mean)

Substituting the given values, we get: 3 * Median = 12 + 10

Therefore, Median = 22 / 3 = 7.33

Range

The range of a set of observations is the difference between the highest and lowest observations.

Range = Maximum observation - Minimum observation

The document Notes: Data Handling | Mathematics & Pedagogy Paper 2 for CTET & TET Exams - CTET & State TET is a part of the CTET & State TET Course Mathematics & Pedagogy Paper 2 for CTET & TET Exams.
All you need of CTET & State TET at this link: CTET & State TET
82 videos|273 docs|69 tests

FAQs on Notes: Data Handling - Mathematics & Pedagogy Paper 2 for CTET & TET Exams - CTET & State TET

1. What is the purpose of presenting data in the form of ungrouped frequency distribution?
Ans. Ungrouped frequency distribution is used to show the frequency of individual values in a dataset without combining them into intervals. This helps in understanding the distribution of data and identifying any outliers or patterns.
2. How is data typically presented in the form of grouped frequency distribution?
Ans. In grouped frequency distribution, data is grouped into intervals or classes, and the frequency of values falling within each interval is recorded. This helps in summarizing large datasets and making them easier to interpret.
3. Why is it important to handle data effectively when presenting frequency distributions?
Ans. Effective data handling ensures that the frequency distribution accurately represents the dataset, allowing for meaningful insights to be drawn. It also helps in avoiding misinterpretation of the data and making informed decisions based on the results.
4. What are some common methods used to present data visually in frequency distributions?
Ans. Some common methods include histograms, bar graphs, and pie charts. These visual representations help in quickly understanding the distribution of data and identifying any trends or patterns.
5. How can grouped frequency distributions help in identifying trends or patterns in data?
Ans. Grouped frequency distributions can help in identifying trends or patterns by showing how data is distributed across different intervals or classes. This can reveal any concentration of values or outliers that may be present in the dataset.
Related Searches

Notes: Data Handling | Mathematics & Pedagogy Paper 2 for CTET & TET Exams - CTET & State TET

,

ppt

,

Semester Notes

,

mock tests for examination

,

Sample Paper

,

Notes: Data Handling | Mathematics & Pedagogy Paper 2 for CTET & TET Exams - CTET & State TET

,

practice quizzes

,

MCQs

,

study material

,

Previous Year Questions with Solutions

,

Free

,

Extra Questions

,

past year papers

,

video lectures

,

shortcuts and tricks

,

Notes: Data Handling | Mathematics & Pedagogy Paper 2 for CTET & TET Exams - CTET & State TET

,

Exam

,

Important questions

,

Summary

,

pdf

,

Objective type Questions

,

Viva Questions

;